The Effect of Ethoxyquin on Mitochondrial Function in Human Fibroblasts
Adi Levy1,2,#, Madleen Zighan1,2,#, Ahmet Höke3, Chaya Miller1, Liza Douiev1, Patrick Yu-Wai-Man4,5,6,7, David Arkadir2,8 and Ann Saada*,1,2,9
1Department of Genetics, Hadassah Medical Center, Jerusalem, Israel
2Faculty of Medicine, Hebrew University of Jerusalem, Israel
3Neuromuscular Division; Merkin Peripheral Neuropathy and Nerve Regeneration Center, Johns Hopkins School of Medicine, Baltimore, MD
4John van Geest Centre for Brain Repair and MRC Mitochondrial Biology Unit, Department of Clinical Neurosciences, University of Cambridge, Cambridge, UK.
5Institute of Ophthalmology, University College London, London, United Kingdom
6Cambridge Eye Unit, Addenbrooke’s Hospital, Cambridge University Hospitals, Cambridge, United Kingdom
7Moorfields Eye Hospital NHS Foundation Trust, London, United Kingdom
Institute of Ophthalmology, University College London, London, United Kingdom
8Department of Neurology, Hadassah Medical Center and the Faculty of Medicine, Hebrew University of Jerusalem, Israel
9Department of Medical Laboratory Sciences, Jerusalem Multidisciplinary College, Jerusalem Israel
#These authors contribute equally
*Corresponding author: Prof. Ann Saada (Reisch).
Received: 31 December 2025; Accepted: 07 January 2026; Published: 14 January 2026
Article Information
Citation: Adi Levy, Madleen Zighan, Ahmet Höke, Chaya Miller, Liza Douiev, Patrick Yu-Wai- Man, David Arkadir and Ann Saada. The Effect of Ethoxyquin on Mitochondrial Function in Human Fibroblasts. Journal of Pharmacy and Pharmacology Research 10 (2026): 15-24.
View / Download Pdf Share at FacebookAbstract
Ethoxyquin (EQ) is a synthetic antioxidant historically used as a preservative in animal feed, but was recently banned as a feed ingredient in food-producing animals due to human health concerns. Nevertheless, EQ was reported to have a neuroprotective effect, ameliorating the side effects of anti-cancer chemotherapy and increasing ATP content in animal models. As the effect of EQ has not been investigated in humans, we aimed to examine its effect of primary fibroblasts derived from controls and patients with confirmed mitochondrial dysfunction. To this end, we incubated primary fibroblasts from patients with mitochondrial respiratory chain complex 1 (C1) deficiency, cytochrome-c-oxidase (COX) deficiency, and a genetic form of Parkinson’s disease (PD). Although EQ did not alter ATP production, it significantly increased oxygen consumption and improved energy status in C1 and COX cells, decreased ROS production in COX, PD, and control cells, while maintaining or increasing mitochondrial content. Our results indicate that EQ has the potential to improve some mitochondrial functions in patients’ cells without any apparent negative effects. Nevertheless, as EQ is controversial and clinical studies are lacking, the use of this compound and its derivatives remains uncertain.
Keywords
Ethoxyquin; EQ; antioxidant; fibroblast; mitochondrial disease; mitochondrial respiratory chain; Parkinson’s disease PD
Ethoxyquin articles; EQ articles; antioxidant articles; fibroblast articles; mitochondrial disease articles; mitochondrial respiratory chain articles; Parkinson?s disease PD articles
Article Details
Introduction
Ethoxyquin (1,2-dihydro-6-ethoxy-2,2,4-trimethylquinoline) (EQ) is a quinoline-based synthetic, antioxidant historically used as a preservative in animal feeds because of its strong antioxidant performance, preserving taste aroma and appearance supporting intake. Moreover, it stabilizes fat soluble vitamins such as vitamins A and E. As food additive EQ was permitted only for color preservation in paprika and chili. Potential adverse effects of EQ were studied in vitro and in vivo on animals and according to these studies it was shown that EQ had little acute toxicity, except when it is administered intraperitoneal or intravenous at concentrations much higher than was permitted in animal feed. Associated pathologies were weight loss, liver, and kidney damage [1]. EQ in animal feed can pass to animal products (fish, poultry, eggs) and therefore, concerns of health-related problems in humans were raised and since May 2025 the US National Food and Drug Administration and Control (NAFDAC) prohibited its use in feed for food-producing animals (NAFDAC-RDEF-008-00).
Nevertheless, Zhu et.al. in 2013 identified EQ as a potential neuroprotective compound in a drug screen searching for compounds that ameliorate the side effect of cancer chemotherapy. They showed that EQ and several derivatives prevented paclitaxel-induced peripheral neuropathy in a rodent model without blocking paclitaxel’s ability to kill tumor cells. The neuroprotective effects of ethoxyquin were assessed in vitro by measuring various cellular and molecular parameters, including neurite integrity, cell viability, and apoptosis, and examining for the presence of peripheral neuropathy in vivo. Additional mechanistic studies demonstrated that EQ acts by modulating the chaperone activity of heat shock protein 90 (Hsp90) by blocking the binding of two of its client proteins, ataxin-2 and SF3B2. EQ-induced reduction in the levels of both proteins prevented axonal degeneration caused by paclitaxel and cisplatin and concomitantly elevated the ATP content. The authors suggested EQ as a potential pharmacological drug to prevent chemotherapy-induced axonal degeneration, due to its antioxidant properties, and by modulating chaperone function. [2]. Later, the same group developed and examined a novel EQ analogue, EQ-6, which prevented axonal degeneration in primary dorsal root ganglions with preserved levels of NAD. EQ-6 also prevented loss of epidermal nerve fibers in a mouse model of paclitaxel- induced peripheral neuropathy. They also confirmed reduced tissue levels of SF3B2 protein, which is an RNA-binding protein that plays a role upstream of Sarm1, a key enzyme that degrades nicotinamide adenine dinucleotide (NAD) and initiates axonal degeneration [3,4]. Yet Another study, investigated the effects of another EQ analog, demethylated ethoxyquin (DEEQ), on liver disease in a rat model of acute liver injury induced by carbon tetrachloride. Treatment with DEEQ showed improved liver function and improved liver histopathology, by decreasing the amount of necrosis in carbon tetrachloride-induced hepatotoxicity and inhibiting inflammasome activity [5]. In view of its antioxidant and anti-inflammatory properties and its ability to increase ATP content, we aimed to investigate the effects of this compound on human primary fibroblasts focusing on mitochondrial function. To this end, we investigated the effect of EQ, on normal controls and fibroblasts derived from patients harboring pathogenic variants known to cause mitochondrial dysfunction and are associated with mitochondrial respiratory chain complex I (C1) defect, cytochrome c oxidase deficiency (COX) and Parkinson’s disease (PD) [6-8].
Materials and Methods
Materials
Mitotracker green (MTG) was obtained from (Molecular Probes, Eugene, Oregon, United States). Tetramethylrhodamine ethyl ester (TMRE) and 2′,7′-Dichlorodihydrofluorescein (DCF) were obtained from Biotium (Harvard, CA, United States). MitoSOX red was purchased from Invitrogen (Thermo Fisher Scientific, Waltham, MA USA), ATPlite Luminescence Assay System was purchased from PerkinElmer (PerkinElmer Israel Hod Hasharon Israel). Tissue culture media were obtained from (Biological Industries, Supleco, Kibbutz Beit Haemek, Israel). The Seahorse XF CellMito Stress Test Kit and medium were purchased from Agilent Technologies (Wokingham United Kingdom). The DNeasy Blood & Tissue Kit was obtained from QIAGEN (Venlo, Netherlands) and Sybrgreen, qPCRBIO SybrGreen Blue MixHi-ROX was obtained from PCRBIOSTSTEMS (London, United Kingdom). Improm II, was purchased from Israel. Muse Count & Viability Reagent was from Merck-Millipore (USA). Other chemicals including EQ were purchased from Sigma-Aldrich-Merck (Rehovot, Israel) in the purest form available.
Cell cultures
Patients primary skin fibroblast cell lines included in this study were from patient’s forearm skin biopsies harboring pathogenic mutations in nuclear genes NDUFAF4 (C1), a 7y old girl with severe metabolic acidosis, hypotonia, failure to thrive and bilateral optic atrophy [6] COX4I1 (COX), a 3y old girl with short stature and poor weight gain [7] PRKN (PD), an adult with levodopa-responsive dystonia [8] and 3 normal controls (two adults and one 3y old child (GM00498 Coriell Institute, USA). Written informed consent to participate in this study was provided by the participant/ participants' legal guardian and the study was approved by the local institutional review board (0485-09-HMO, 0393–17-HMO). The cells were maintained in permissive glucose containing (GLU) DMEM-high glucose medium supplemented with supplemented with 10% fetal calf serum,50 μg/ml uridine, 110 μg/ml pyruvate and 2mM glutamine at 37 °C in 5% CO2. Cells were counted after trypsinization with the Muse Count & Viability Reagent (Merck-Millipore USA) using the GuavaMuseCell Analyzer (Luminex, Austin, TX USA).
Assessment of Mitochondrial Function and ROS production
Evaluation of the effect of each compound on baseline parameters of cellular and mitochondrial function in microtiter wells, was carried out essentially as we have previously described [9,10] briefly; 3x103 cells per well were seeded in triplicates on identical 96-well cell culture plates and incubated for 24 hours at 37°C, 5% CO2. The following day the medium was replaced with fresh GLU medium or restrictive medium, glucose-free DMEM with 5 mM galactose and 5% (FCS) and 2mM Glutamine, (GAL)in the presence of EQ (from a 10mM stock solution in dimethyl sulfoxide (DMSO) or vehicle DMSO. Cells were incubated for 72 hours at 37°C, 5% CO2. Subsequently, cell content, ROS production, ATP production, mitochondrial content and mitochondrial membrane potential (MMP) were assayed. Cell content in GLU or GAL medium was measured by spectrophotometry after fixation and methylene blue (MB) stain.
Mitochondrial ATP synthesis, was assayed in permeabilized fibroblasts as have previously described [9,10]. Cells grown in microtiter wells were rinsed twice in PBS, and once (5min.) in assay buffer (150 mM KCl, 10 mM potassium phosphate buffer (pH 7.4), 25 mM Tris (pH 7.4), 2 mM EDTA, 0.025% fatty-acid-free bovine serum albumin, 40 μg/ml digitonin). The wells were then incubated for 20 min. at 37 °C in 50μl assay buffer containing 5 mM glutamate, 1 mM malate and 1mM ATP. Background wells were incubated without added substrates. The reaction was terminated by adding 25μl ATPlite cell lysis buffer (Perkin Elmer, Waltham, MA, USA) and ATP content was measured using the ATPlite luminescence assay kit according to the manufacturer's instructions. ATP produced during 20 min. was calculated relative luminescence (RLU) minus background, divided by cellular cell content as measured by methylene blue (MB) in parallel plates and normalized to normal fibroblast control mean.
Reactive oxygen species (ROS) production and mitochondrial content was determined by fluorometry after incubation with DCF (10nM) and MTG (200 nM), respectively and normalized to MB. Mitochondrial membrane potential (MMP) was estimated by TMRE (50 nM), which accumulates in the mitochondria dependent on MMP and normalized to MTG, which accumulates in the mitochondria independently of MMP. TMRE Fluorescence was decreased to 20% in the presence of 1µM FCCP and this background was subtracted from the results.
Mitochondrial and cytoplasmic superoxide dismutase activity was measured using the Superoxide Dismutase Assay Kit II (Sigma-Aldrich) according to the manufacturer’s instructions. Briefly, mitochondrial and cytosolic fractions were isolated from T27 flasks grown for 72h in the absence or presence EQ, and SOD activity was measured spectrophotometrically by monitoring the dismutation of superoxide generated by xanthine oxidase and hypoxanthine utilizing a tetrazolium salt. NAD and NADH content were assayed by the NAD/NAD-Glo luminescent assay (Promega) according to the manufacturer’s instructions.
All spectrophotometric, luminometric, and fluorometric measurements were performed on a BioTek Synergy HT microplate reader (AgilentTechnologies,Wokingham UK). To evaluate mitochondrial superoxide production, cells were incubated with MitoSOX red (500nM) and MTG (200 nM) for 30min in growth medium at 37°C, 5% CO2, washed with phosphate-buffered saline and observed with a Nikon Spinning Disk Confocal Microscope. Micrograph images, at least 50 cells per occasion, were analyzed by QuPath v0.5.1. software for digital pathology image analysis https://qupath.github.io/.
Oxygen consumption and extracellular acidification rates
Oxygen consumption rates (OCR) and extracellular acidification rates (ECAR) were measured essentially as we have previously described[9], briefly; fibroblast were seeded in quadruplicates on XF96-well plates in GLU medium, in the absence or presence of EQ or vehicle for 72 h. Prior to the measurement, the medium was changed to Seahorse XF unbuffered DMEM medium supplemented with 1 mM pyruvate, 2 mM glutamine and 10 mM glucose and OCR and ECAR were measured by the Agilent Seahorse XF Cell Mito Stress Test according to the manufacturer’s instructions, using the Seahorse XF Extracellular 96-well Flux Analyzer (Agilent Technologies, Wokingham, UK). The OCR rates were calculated after subtraction of the non-mitochondrial respiration (in the presence of rotenone and antimycin A, and normalized to cell content as measured by MB. ATP-linked OCR was calculated as basal OCR subtracted by OCR in the presence of oligomycin.
Mitochondrial DNA content
Mitochondrial DNA (mtDNA content) was measured by quantitative PCR. Total DNA was isolated from the fibroblasts grown in GLU medium using the QIAGEN DNeasy Blood & Tissue kit and mtDNA was quantified. MtDNA content was determined by real-time quantitative PCR (qPCR) with SyGreen Blue Mix Hi-ROX, using the same conditions and primers specific for the mitochondrial t-RNA leucine gene (MT-TL1) the nuclear β-2-microglobulin (β2M) gene as described Venegas et al. [10]. The reaction and analysis were performed on a Step OnePlus RealTime-PCR system (ThermoFisher Scientific, Waltham, MA, United States). The relative mtDNA content was calculated using the delta-delta Ct method formula, comparing all results to the mean of untreated controls.
mRNA Expression
RNA was extracted from fibroblasts grown in GLU, with 1ml Tri Reagent according to the manufacturer’s instructions, washed in 70% ethanol, dried, and resuspended in RNase-free water. RNA concentration and purity were measured using the Nanodrop 2000 (Themo Fisher Scientific) cDNA from poly(A)+mRNA was generated using Improm II and Real-time, quantitative PCR for the quantification of SOD2 Fast SYBR GreenMaster Mix and the ABI PRISM7900HT sequence detection system (Applied Biosystems, Foster City, CA, USA). All RNA data are expressed relative to TATA-binding protein (TBP), which was stable across all time points and conditions and the relative expression was calculated using the delta-delta Ct method formula comparing the results to untreated control mean. Primer sequences for TBP and SOD2 were according to Islam et.al. [11] other primers are as follows; PPARGC1A (Pgc1a) Forward primer(F): gctgtacttttgtggacgca Reverse primer (R): aggtattcgccatccctct; SF3B2 F: tgaatcggccggttttgaga R: atttggtgggtgggccatag; ANTX1 F: acctgaggtcacttcccaag R: cgaggtgaagttggggtagt;
Statistical analysis
Experiments were performed on at least three independent occasions (if not stated otherwise), each point in the bar- graphs represents the mean of triplicates on one occasion and is presented as mean ± SEM, if not otherwise stated. Statistical significance p<0.05 was calculated by one-way ANOVA by followed by Tukey's multiple comparisons test using the GraphPad Prism version 10.0.0 for Windows, GraphPad Software, Boston, Massachusetts USA, www.graphpad.com.
Results
We investigated the effect of EQ on primary fibroblasts from patients with diseases characterized by mitochondrial dysfunction and, therefore, concentrated on relevant parameters that could be measured in relatively small amounts of cells.
The Effect of EQ on Mitochondrial Parameters
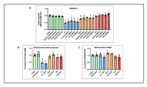
We investigated the effect of EQ on parameters related to mitochondrial function (Fig.1) including growth in restrictive medium, (Figure. 1A), mitochondrial ATP production (Fig.1B) and mitochondrial membrane potential (MMP) (Fig.1C) in primary skin fibroblasts from two patients with primary mitochondrial diseases affecting respiratory chain complex I (C1) and cytochrome c oxidase (COX), and from a patient with a genetic form of Parkinson’s disease (PD) and compared these to controls (CONT). The results were also normalized to cell content measured by methylene blue, based on the staining of basophilic cellular compounds (MB). Notably, tetrazolium and ATP-based methodologies rely on mitochondrial function and content, and are thus not suitable in this context. In this respect, we have previously shown a direct correlation between cell growth and viable count by trypan blue [9].
Figure 1: The effect of Ethoxyquin (EQ) on cell growth, mitochondrial ATP production, and mitochondrial membrane potential. Equal amount of control cells (CONT) n=3 , cells with mitochondrial complex 1 (C1), COX (COX) deficiency and with mutated PRKN (PD), were seeded in microtiter wells, incubated in the presence or absence of or in the presence of 0.5 μM (A) 1 μM (A,B,C) ,2 μM (A) ,4 μM (A) Ethoxyquin (EQ) for 72h where- after the following parameters were measured; (A) Growth ratio GAL(restricted medium) vs GLU (permissive medium) measured by methylene blue staining (MB); (B) Mitochondrial ATP production in permeabilized cells grown on GLU in the presence of glutamate,malate and ADP measured by luciferin-luciferase (RLU) normalized to MB (C) Mitochondrial membrane potential (MMP) in cells grown on GLU was calculated as the ratio of TMRE to MTG relative fluorescence Results are presented as normalized mean ± SEM relative to controls (n=3). Each dot represents the mean of triplicates performed on different occasions, #p<0.05 compared to the untreated control mean, *p<0.05 compared to the individual cell without the additive.
As shown in Fig. 1 A, the growth of patients’ cells on GAL was impaired to a variable extent relative to the permissive GLU medium. C1 cells were mostly affected as expected, due to a severe mutation with a profound effect on OXPHOS [6]. COX cells were affected to a lesser degree, most probably due to the milder mutation [7], while PD cells were unaffected. Notably, growth on the restrictive glucose-free GAL medium is highly dependent on OXPHOS, whereas the high glucose permissive GLU medium also allows OXPHOS deficient cells to thrive by relying on glycolysis for survival [12].
Additionally, we measured the effect of various concentrations of EQ to assess toxicity. Concentrations up to 4 μM showed no adverse effect. 1 μM EQ slightly (28%) but significantly improved growth of C1 cells. PD improved (17%) with 4 μM (Fig. 1A). As C1 was the most severely affected cell line, and improved growth on GAL, is indicative of improved OXPHOS, we continued the following experiments with 1 μM EQ, the lowest effective concentration. Notably, for other analyses, cells were grown on GLU, as damaged cells grown on GAL tend to detach during the analytical procedures.
Mitochondrial ATP production (Fig.1B) in permeabilized cells, was markedly decreased (54%) in C1 deficient cells, and was only mildly decreased in COX and PD cells. EQ did not show any effect on ATP production, nor in patient’s or control cells. Mitochondrial membrane potential (MMP) was not significantly altered in the patient’s cells. EQ showed a tendency to decrease MMP in C1 and COX cells but this decrease was only significant in C1 cells. In general, we did not observe any statistically significant effect of EQ on the measured parameters other than a slight decrease of MMP in CI deficient cells.
The Effect of EQ on bioenergetics
Assessment of the bioenergetic status of the cells was done by comparing oxygen consumption (OCR) and extracellular acidification (ECAR) rates in cells grown in the presence of EQ (Fig. 2). Basal OCR was measured as OCR without any addition, ATP linked OCR was calculated after subtraction in the presence of oligomycin (an ATPsynthase inhibitor), maximal OCR was calculated following addition of protonophore carbonyl cyanide-p-trifluoromethoxyphenylhydrazone (FCCP) and the spare capacity was calculated as basal capacity subtracted from the maximal capacity (Fig.2A). Non mitochondrial OCR in the presence of rotenone and antimycin (inhibitors of CI and CIII) and was subtracted from all measurements. A representative OCR track is depicted in Fig 2B. ECAR, glycolytic marker, was measured simultaneously under basal conditions and plotted vs basal OCR (Fig.2C), which represents the bioenergetic/metabolic status of the cells i.e., OXPHOS vs glycolysis.
Figure 2: The effect of Ethoxyquin (EQ) on Oxygen consumption (OCR) and extracellular acidification (ECAR) rates. Equal amounts of control cells (CONT) n=3, cells with mitochondrial C1 (C1), COX (COX) deficiency, and PD with mutated PRKN (PD), were seeded on XF96-well, cultivated in the presence or absence of 1μM Ethoxyquin (EQ1) for 72h GLU medium. Oxygen consumption (OCR) and extracellular acidification rates (ECAR) were measured in glucose containing XF seahorse medium in an XF Extracellular 96-well Flux Analyzer and normalized to cell content measured by methylene blue (MB). (A) Calculated basal, maximal, ATP-linked OCR, and spare capacities. (B) Depicts a representative OCR track with time. (C) Energy map plotted a as basal OCR against the basal extracellular acidification rate. Results are presented as mean ± SEM relative to controls. #p<0.05 compared to untreated control mean, *p<0.05 compared to the individual cell without additive.
Both basal and maximal OCR were decreased (67%-25%) in all patients’ cells. ATP-linked OCR (60%-30%) was decreased as well. PD cells had near to none spare capacity which is indicative of constant maximal OXPHOS activity. A significant elevation (17%-30%) of basal and maximal OCR with EQ was observed in both C1and COX deficient cells, while ATP dependent OCR was not affected by EQ (Fig. 2 A and B). Increased ECAR in untreated C1 and COX patient cells combined with the decreased OCR indicates a decreased energetic status with a shift towards glycolytic metabolism relative to control cells. Their energetic status was improved by EQ in with the increase of OCR relative to ECAR. The energetic status in controls and PD cells was not affected by EQ (Fig.2C).
The Effect of EQ on mitochondrial and cellular ROS production and on mitochondrial content
Elevated (Reactive Oxygen Species) ROS production is a frequent consequence of mitochondrial dysfunction depending causing oxidative stress [9,13]. We measured mitochondrial and cellular ROS production by microscopy using MitoSOX red stain (an indicator of mitochondrial superoxide radical) in combination with MTG (an indicator of mitochondrial content, independent of MMT) (Fig.3). Additionally, we measured cellular ROS in the 96 well format by DCF (an indicator of hydrogen peroxide). We observed a significant (20-30%) a priori elevated mitochondrial and cellular ROS production in PD which was normalized by EQ (Fig. 3 A-D). Mitochondrial content in these cells were higher than controls, and could be a result of a compensatory mechanism (Fig. 3D).
Mitochondrial ROS was markedly elevated in untreated COX cells measured with MitoSOX but not evident when measured with DCF (Fig.3 A-D) thus the superoxide radical seems to be the most prominent ROS in this particular COX defect. EQ significantly decreased mitochondrial ROS (Fig. 3 A-C). Mitochondrial content was unaltered (Fig.3E). ROS production was not elevated in C1 cells most probably, the severe defect, which prevents electrons effectively entering the mitochondrial respiratory chain and therefore diminishes ROS production (Fig.3 A-D). C1 cells disclosed decreased mitochondrial content was normalized by EQ (Fig.3E). EQ had no effect on cellular ROS production and slightly (20%) decreased cellular ROS production measured by DCF in control cells (Fig.3D).
Figure 3: The effect of Ethoxyquin (EQ) on cellular ROS production and mitochondrial content Equal amount of control cells (CONT) n=3 , cells with mitochondrial C1 (C1), COX (COX) deficiency, PD with mutated PRKN (PD), were seeded on coverslips (B-C) and microtiter wells (D,E) , incubated in the presence or absence of 1μM Ethoxyquin (EQ) for 72h where after the cells were stained with MitoSOX red, MTG and quantified by fluorescence microscopy (A-C) or stained with DCF, MTG and quantified by fluorimetry (D,E) Cellular ROS production was calculated per cell area (A) or by normalized to cell mass measured by MB (D). Mitochondrial ROS production with MitoSox red was calculated as the ratio to MTG (B). Each dot represents mean of triplicates performed on different occasions. #p<0.05 compared to untreated control mean, *p<0.05 compared to the individual cell without additive. C depicts one of several micrographs used for quantification (A, B). Mitochondrial content was measured by MTG (B, C, E) and calculated as a ratio to MB (E).
The Effect of EQ on mtDNA content mRNA expression and NAD/NADH content
We speculated that decreased in ROS could be a consequence of upregulated mitochondrial antioxidant defense and therefore measured mRNA expression of SOD2, the gene encoding the mitochondrial manganese-dependent superoxide dismutase EQ treated COX ells showed a significant increase (x1.8) in SOD2 expression which could explain the decreased ROS production. SOD2 expression in PD cells was a priori elevated and unaltered by EQ. SOD2 expression was slightly decreased in the presence EQ in C1 cells (Fig.4A).
An additional cause of decreased ROS production could also stem from decreased mitochondrial content. To this end we measured mitochondrial content by two methodologies; Mitotracker green (MTG) (Fig.3E) and mtDNA content (Fig.4B). EQ slightly increased mitochondrial C1 as measured by MTG but the increase was not significant measured by mtDNA. PD cells showed an a priori elevated mitochondrial content measured by MTG and by mtDNA which was not significantly affected by EQ. The variations in COX cells were not statistically significand (Fig 3E and Fig. 4B). Additionally, we measured the expression of Peroxisome proliferator-activated receptor-gamma coactivator PGC1α, a key regulator of mitochondrial biogenesis. Interestingly EQ significantly elevated the expression of PGC1α C1 and PD cells in accord with the MTG stain (Fig.4C). Taken together, these results confirm that the decreased ROS production observed in EQ treated COX and PD cells is not a consequence of reduced mitochondrial content.
Figure 4: mRNA expression and mtDNA content. RNA was isolated and c-DNA was generated from control cells (CONT) cells with mitochondrial C1 (C1), COX (COX) deficiency, and cells with mutated PRKN (PD)grown in the absence or presence of EQ for 72h. The mRNA expression of SOD2 was measured by RT-PCR, normalized to the TBP and calculated as fold expression relative to untreated control mean. (D) mtDNA content was measured by qPCR of MT-TL1 and normalized to the nuclear β2M. Results are presented as mean ± SEM relative to controls (n=3). #p<0.05 compared to untreated control mean, *p<0.05 compared to the individual cell without additive.
Aiming to gain a clearer insight into the role of SOD2 we therefore measured SOD activity in mitochondria (representing MnSOD encoded by the SOD2 gene) and in the cytosolic fraction (Cu-Zn-SOD) (Table 1). We did not detect any significant differences in cytosolic activities but decreased mitochondrial activities in patient cells. EQ treatment further reduced mitochondrial SOD activity in COX and PD. Although, this result is not in accord with increased SOD2 expression in observed in COX cells, we still speculate that the antioxidant effect of EQ lessens the need for mitochondrial SOD activity Fig 3 A-D).
Table 1: superoxide dismutase (SOD) activity was determined in cells grown in the presence or absence of 1uM EQ.
|
Cells |
SOD activity CYTOPLASM $ |
SOD activity MITOCHONDRIA$ |
||
|
-EQ |
+EQ |
-EQ |
+EQ |
|
|
CONTROLS |
30.0 ± 6.8 |
30.1 ± 7.4 |
26.8 ± 7.7 |
17.5 ± 6.4 |
|
C1 |
30.2 |
24.5 |
15.7 |
18.2 |
|
COX |
30.7 |
26.9 |
17 |
12.0# |
|
PD |
27.3 |
23.2 |
11.9# |
8.7# |
$[mU/mg protein] Mean of two duplicate determinations # statistically different from untreated controls p<0.05.
In an attempt to assess the link to chaperone-modulation, we measured the expression of ataxin-2 (ATXN2) and SF3B2, which was previously shown be reduced by EQ [2,15]. ATXN2 was upregulated in COX cells relative to controls, and normalized with EQ, while no other significant differences were observed. No significant effect of EQ was observed in SF3B2 expression [Figure.4 D, E]. Downregulation of SF3B2 was reported to be neuroprotective protective, possibly by preserving NAD levels [4]. Notably, mitochondrial respiratory chain dysfunction is linked to NAD deficiency as NADH accumulates [14]. Thus, we examined the effect of EQ on cellular NAD and NADH levels (Table 2). NAD levels and NAD/NADH ratios were slightly but not statistically significantly elevated in EQ treated controls and PD cells. As expected in the severely affected C1 cells, NADH was significantly elevated concomitantly with decreased NAD/NADH ratio, with no significant effect with EQ. The effect on COX cells was also minor.
Table 2: NAD+ and NADH content in the presence and absence of 1uM EQ.
|
Cells |
NAD |
NAD+EQ |
NADH |
NADH+EQ |
NAD/NADH ratio |
NAD/NADH +EQ ratio |
|
CONTROLS |
2.22 ± 0.35 |
2.55 ± 0.43 |
0.15 ± 0.05 |
0.15 ± 0.05 |
15.54 ± 5.83 |
16.57 ± 1.85 |
|
C1 |
2.37 |
1.87 |
0.28# |
0.24# |
8.42# |
7.73# |
|
COX |
2.52 |
2.45 |
0.17 |
0.16 |
15.87 |
15.72 |
|
PD |
2.32 |
2.75 |
0.15 |
0.16 |
15.13 |
17.43 |
$[mU/mg protein] Mean of two duplicate determinations # statistically different from untreated controls p<0.05.
Discussion
The rationale for this study was to investigate the effect of EQ on mitochondrial function in human cells, and was based on previous observations that this compound increased reduced oxidative stress and increased ATP in vitro and in vivo in animal models [2-5]. Specifically, we examined the effect of EQ on normal human fibroblasts and fibroblasts derived from patients with genetic diseases known to affect mitochondrial function. Additionally, there is ongoing controversy on the safety of EQ as an antioxidant preservative, with the data on consumer safety and its environmental impact remaining largely inconclusive [15]. We used a concentration of 1uM (0.217mg/L), which in our preliminary experiments was the lowest effective concentration. In comparison, 11-50mg/kg was considered to be safe in animal food as EQ itself is not considered to be genotoxic or carcinogenic. Still, its oxidation products are of concern [1,15]. The cells were grown in the presence of EQ for 72h, as according to our experience, this is the most suitable time for detecting the effect of respiratory chain function on restrictive medium [12]. The effect of EQ was variable, depending on the patient cells and on the assays and the extent of mitochondrial dysfunction in the patients’ cells. Notably, C1 cells originated from a severely affected infant with markedly decreased OXPHOS activity, while COX and PD cells were obtained from patients with less severe phenotypes with relatively mild impact on mitochondrial function [6-8]. We could not confirm what was previously reported by Cetinkaya-Fisgin et. al [3], as we did not detect any significant effect of EQ on mitochondrial ATP production measured by luminometry and ATP linked oxygen consumption. The reason for this might be that the researchers measured ATP content (the sum of production and consumption) while we measured mitochondrial ATP production over time. Then again, EQ significantly increased oxygen consumption and improved energy status in C1 and COX deficient cells. Concomitantly EQ decreased ROS production PD and COX. This decrease was not a result of reduced mitochondrial content, as EQ did not alter or only slightly increased it. Notably increased mitochondrial content would lead to increased ROS [16,17]. Taken together our results verified the antioxidative effect of EQ also in control and patient’s fibroblasts and is in accord with previously published data obtained in animal models [1,5, 18,19].
We could only partially mechanistically confirm the chaperone-modulation properties of EQ, by expression studies and NAD/NADH content, as the decreased expression of ATXN2 by EQ, in COX cells are in accord with previous studies demonstrating the interaction with HSP90 [1-5,13]. As of now, there is no unified mechanism or set of mechanisms that could fully explain the effect of EQ on mitochondrial function in human primary fibroblasts. Nevertheless, EQ demonstrated a positive effect by decreasing ROS production without any apparent negative effect.
Conclusions
Taken together, our results indicate that EQ can reduce mitochondrial and cellular ROS production while improving energy status in some cells with mitochondrial dysfunction without apparent negative effects. These effects are a combination of antioxidative and probably additional properties. Nevertheless, as EQ is controversial and clinical studies are lacking, the use of this compound and its derivatives remains uncertain.
Author Contributions: “Conceptualization, A.S, A.H., P.Y-W-M and DA. methodology, M.Z , A.L,C.M and A.S. investigation, M.Z,AL, CM AS .; writing—original draft preparation, A.L and A.S.; writing—M.Z, A.L., C.M., A.H, P.Y-W-M., D.A.,A.S.; supervision A.S.; project administration, ,A. S .; funding acquisition, A.S All authors have read and agreed to the published version of the manuscript.
Funding: This research was funded by the Israel Science Foundation ISF, grant number 1059/19 to A.S. The APC was funded by A.S. P.Y-W-M is supported by an Advanced Fellowship Award (NIHR301696) from the UK National Institute of Health Research (NIHR). P.Y-W-M also receives funding from Fight for Sight (UK), the Isaac Newton Trust (UK), Moorfields Eye Charity (GR001376), the Addenbrooke’s Charitable Trust, the National Eye Research Centre (UK), the International Foundation for Optic Nerve Disease (IFOND), the NIHR as part of the Rare Diseases Translational Research Collaboration, the NIHR Cambridge Biomedical Research Centre (NIHR203312), and the NIHR Biomedical Research Centre based at Moorfields Eye Hospital NHS Foundation Trust and UCL Institute of Ophthalmology (NIHR203322). This research was supported by the LifeArc under grant no. 10748. LifeArc is a charity registered in England and Wales under no. 1015243 and in Scotland under no. SC037861. The views expressed are those of the author(s) and not necessarily those of the NHS, the NIHR or the Department of Health.
Institutional Review Board Statement: The studies involving human fibroblasts were reviewed and approved by Ethics Committee approved by the Hadassah Medical Center (0485-09-HMO 0393–17HMO).
Informed Consent Statement: Written informed consent to participate in this study was provided by the participant/ participants' legal guardian. No potentially identifiable human images or data is presented in this study.
Data Availability Statement: Raw data presented in this work are available upon request.
Acknowledgements: Dr. Devorah Soiferman-Yefet and Dr. Michael Edery are acknowledged for technical assistance with some preliminary results. Dr. Yael Feinstein-Rotkopf and Dr Yariv Maron from the Hebrew University Core Research facility are acknowledged for assistance with microscopy and image analysis.
Conflicts of Interest: The authors, M.Z, A.L., C.M., L.D., P.Y-W-M., D.A, and A.S. declare no conflict of interest, A.H. is a founder, shareholder and chair of scientific advisory board of AxoProtego Therapeutics which has licensed the use of ethoxyquin for peripheral neuropathies from Johns Hopkins University.
References
- Błaszczyk A, Augustyniak A & Skolimowski J. Ethoxyquin: An Antioxidant Used in Animal Feed. International journal of food science (2013): 585931.
- Zhu J, Chen W, Mi R, et al. Ethoxyquin prevents chemotherapy-induced neurotoxicity via Hsp90 modulation. Annals of neurology74 (2013): 893–904.
- Cetinkaya-Fisgin A, Zhu J, Luan X, et al. Development of EQ-6, a Novel Analogue of Ethoxyquin to Prevent Chemotherapy-Induced Peripheral Neuropathy. Neurotherapeutics: the journal of the American Society for Experimental NeuroTherapeutics18 (2021): 2061–2072.
- Jeong YE, Rajbhandari L, Kim BW, et al. Downregulation of SF3B2 protects CNS neurons in models of multiple sclerosis. Annals of clinical and translational neurology10 (2023): 246–265.
- Iskusnykh IY, Kryl'skii ED, Brazhnikova DA, et al. Novel Antioxidant, Deethylated Ethoxyquin, protects against Carbon Tetrachloride Induced Hepatotoxicity in Rats by Inhibiting NLRP3 Inflammasome Activation and Apoptosis. Antioxidants (Basel, Switzerland)10 (2021): 122.
- Saada A, Edvardson S, Rapoport M, et al. C6ORF66 is an assembly factor of mitochondrial complex I. American journal of human genetics82 (2008): 32–38.
- Abu-Libdeh B, Douiev L, Amro S, et al. Mutation in the COX4I1 gene is associated with short stature, poor weight gain and increased chromosomal breaks, simulating Fanconi anemia. European journal of human genetics: EJHG25 (2017): 1142–1146.
- Mor-Shaked H, Paz-Ebstein E, Basal A, et al. Levodopa-responsive dystonia caused by biallelic PRKNexon inversion invisible to exome sequencing. Brain communications 3 (2021): fcab197.
- Yu-Wai-Man P, Soiferman D, Moore DG, et al. Evaluating the therapeutic potential of idebenone and related quinone analogues in Leber hereditary optic neuropathy. Mitochondrion36 (2017): 36–42.
- Venegas V, Wang J, Dimmock D and Wong LJ. Real-time quantitative PCR analysis of mitochondrial DNA content. Curr. Protoc. Genet 19 (2011): 19.17.
- Islam H, Bonafiglia JT, Turnbull PC, Simpson CA, et al. The impact of acute and chronic exercise on Nrf2 expression in relation to markers of mitochondrial biogenesis in human skeletal muscle. European journal of applied physiology120 (2020): 149–160.
- Pitkänen S, Feigenbaum A, Laframboise R, et al. NADH-coenzyme Q reductase (complex I) deficiency: heterogeneity in phenotype and biochemical findings. Journal of inherited metabolic disease19 (1996): 675–686.
- Zhu J, Carozzi VA, Reed N, Mi R, et al. Ethoxyquin provides neuroprotection against cisplatin-induced neurotoxicity. Scientific reports6 (2016):
- Pirinen E, Auranen M, Khan NA, et al. Niacin Cures Systemic NAD+Deficiency and Improves Muscle Performance in Adult-Onset Mitochondrial Myopathy. Cell metabolism 32 (2020): 144.
- Aquilina, et al. Safety and efficacy of ethoxyquin (6-ethoxy-1,2-dihydro-2,2,4-trimethylquinoline) for all animal species EFSA Journal 13 (2015): 4272.
- Palma FR, Gantner BN, Sakiyama MJ, et al. ROS production by mitochondria: function or dysfunction? Oncogene (2023).
- Murphy MP. How mitochondria produce reactive oxygen species. The Biochemical journal417 (2009): 1–13.
- Xiao Y, Gao X, & Yuan J. Comparative Study of an Antioxidant Compound and Ethoxyquin on Feed Oxidative Stability and on Performance, Antioxidant Capacity, and Intestinal Health in Starter Broiler Chickens. Antioxidants (Basel, Switzerland) 13 (2024): 1229.
- Elokil A, Li S, Chen W, Farid O, et al. Ethoxyquin attenuates enteric oxidative stress and inflammation by promoting cytokine expressions and symbiotic microbiota in heat-stressed broilers. Poultry science103 (2024):



